PSI4 Project Logo

FNOCC: Frozen natural orbitals for CCSD(T), QCISD(T), CEPA, and MP4

Code author: A. Eugene DePrince

Section author: A. Eugene DePrince

Module: Keywords, PSI Variables, FNOCC

Frozen natural orbitals (FNO)

The computational cost of the QCISD(T), CCSD(T), CEPA, and MP4 methods can be reduced by constructing a compact representation of the virtual space based on the natural orbitals of second-order perturbation theory. The most demanding steps in the CCSD and (T) algorithms scale as {\cal{O}}(o^2v^4) and {\cal{O}}(o^3v^4), where o and v represent the number of oribitals that are occupied and unoccupied (virtual) in the reference function, respectively. By reducing the the size of the virtual space, the cost of evaluating these terms reduces by a factor of (v / v_{FNO})^4, where v_{FNO} represents the number of virtual orbitals retained after the FNO truncation.

The general outline for the FNO procedure in PSI4 is:

  1. construct the virtual-virtual block of the unrelaxed MP2 one-particle density matrix (OPDM)
  2. diagonalize this block of the OPDM to obtain a set of natural virtual orbitals
  3. based on some occupancy threshold, determine which orbitals are unimportant and may be discarded
  4. project the virtual-virtual block of the Fock matrix onto the truncated space
  5. construct semicanonical orbitals by diagonalizing the virtual-virtual block of the Fock matrix
  6. proceed with the QCISD(T) / CCSD(T) / MP4 computation in the reduced virtual space

A second-order correction based upon the MP2 energies in the full and truncated spaces captures much of the missing correlation effects. More details on the implementation and numerical accuracy of FNO methods in PSI4 can be found in Ref. [DePrince:2013:293]. FNO computations are controlled through the keywords NAT_ORBS and OCC_TOLERANCE, or by prepending a valid method name with “fno” in the energy call as

energy('fno-ccsd(t)')

QCISD(T), CCSD(T), MP4, and CEPA

The FNOCC module in PSI4 supports several related many-body quantum chemistry methods, including the CCSD(T) and QCISD(T) methods, several orders of many-body perturbation theory (MP2-MP4), and a family methods related to the coupled electron pair approximation (CEPA).

Quadratic configuration interaction and coupled cluster

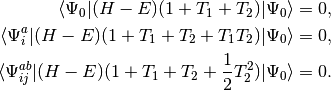
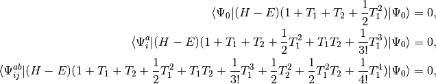
The quadratic configuration interaction singles doubles (QCISD) method of Pople, Head-Gordon, and Raghavachari [Pople:1987:5968] was originally presented as a size-consistent extension of configuration interaction singles doubles (CISD). The method can also be obtained as a simplified version of the coupled cluster singles doubles (CCSD) method [Purvis:1982]. Consider the set of equations defining CCSD:

(1)\langle \Psi_0  | (H - E) (1 + T_1 + T_2 + \frac{1}{2}T_1^2)|\Psi_0\rangle = 0, \\
\langle \Psi_i^a  | (H - E) (1 + T_1 + T_2 + \frac{1}{2}T_1^2+T_1T_2+\frac{1}{3!}T_1^3)|\Psi_0\rangle = 0, \\
\langle \Psi_{ij}^{ab}  | (H - E) (1 + T_1 + T_2 + \frac{1}{2}T_1^2 + T_1T_2+\frac{1}{3!}T_1^3+\frac{1}{2}T_2^2+\frac{1}{2}T_1^2T_2+\frac{1}{4!}T_1^4)|\Psi_0\rangle = 0, \\

where we have chosen the intermediate normalization, \langle \Psi_0| \Psi \rangle = 1, and the symbols T_1 and T_2 represent single and double excitation operators. The QCISD equations can be obtained by omitting all but two terms that are nonlinear in T_1 and T_2:

(2)\langle \Psi_0  | (H - E) (1 + T_1 + T_2)|\Psi_0\rangle = 0, \\
\langle \Psi_i^a  | (H - E) (1 + T_1 + T_2 + T_1T_2)|\Psi_0\rangle = 0, \\
\langle \Psi_{ij}^{ab}  | (H - E) (1 + T_1 + T_2 + \frac{1}{2}T_2^2)|\Psi_0\rangle = 0. \\

QCISD is slightly cheaper that CCSD computationally, but it retains the {\cal{O}}(o^2v^4) complexity of the original equations. Just as in the familiar CCSD(T) method, the effects of connected triple excitations may be included noniteratively to yield the QCISD(T) method. Both the QCISD(T) and CCSD(T) methods are implemented for closed-shell references in the FNOCC module.

Many-body perturbation theory

QCI and CC methods are closely related to perturbation theory, and the MP2, MP3, and MP4(SDQ) correlation energies can be obtained as a free by-product of a CCSD or QCISD computation. The following is an example of the results for a computation run with the call energy('fno-qcisd') to energy():

QCISD iterations converged!

      OS MP2 FNO correction:                -0.000819116338
      SS MP2 FNO correction:                -0.000092278158
      MP2 FNO correction:                   -0.000911394496

      OS MP2 correlation energy:            -0.166478414245
      SS MP2 correlation energy:            -0.056669079827
      MP2 correlation energy:               -0.223147494072
    * MP2 total energy:                    -76.258836941658

      OS MP2.5 correlation energy:          -0.171225850256
      SS MP2.5 correlation energy:          -0.054028401038
      MP2.5 correlation energy:             -0.225254251294
    * MP2.5 total energy:                  -76.260943698880

      OS MP3 correlation energy:            -0.175973286267
      SS MP3 correlation energy:            -0.051387722248
      MP3 correlation energy:               -0.227361008515
    * MP3 total energy:                    -76.263050456101

      OS MP4(SDQ) correlation energy:       -0.180324322304
      SS MP4(SDQ) correlation energy:       -0.048798468084
      MP4(SDQ) correlation energy:          -0.230995119324
    * MP4(SDQ) total energy:               -76.266684566910

      OS QCISD correlation energy:          -0.181578117924
      SS QCISD correlation energy:          -0.049853548145
      QCISD correlation energy:             -0.231431666069
    * QCISD total energy:                  -76.267121113654

The first set of energies printed corresponds to the second-order FNO correction mentioned previously. Results for many-body perturbation theory through partial fourth order are then provided. The notation MP4(SDQ) indicates that we have included all contributions to the correlation energy through fourth order, with the exception of that from connected triple excitations.

One need not run a full QCISD or CCSD computation to obtain these perturbation theory results. The keywords for invoking perturbation theory computations are given below in Table FNOCC Methods. Full MP4 correlation energies are also available.

Coupled electron pair approximation

Coupled-pair methods can be viewed as approximations to CCSD or as size-extensive modifications of CISD. The methods have the same complexity as CISD, and solving the CISD or coupled-pair equations requires fewer floating point operations than solving the CCSD. CISD, CCSD, and the coupled-pair methods discussed below all scale formally with the sixth power of system size, and, as with the QCISD method, CEPA methods retain {\cal{O}}(o^2v^4) complexity of the CCSD equations. For a detailed discussion of the properties of various coupled-pair methods, see Ref. [Wennmohs:2008:217].

What follows is a very basic description of the practical differences in the equations that define each of the coupled-pair methods implemented in PSI4. We begin with the CISD wave function

(3)| \Psi \rangle = | \Psi_0 \rangle + \sum_i^{occ} \sum_a^{vir} t_i^a | \Psi_i^a\rangle + \frac{1}{4}\sum_{ij}^{occ} \sum_{ab}^{vir} t_{ij}^{ab} | \Psi_{ij}^{ab}\rangle,

where we have chosen the intermediate normalization, \langle \Psi_0
| \Psi \rangle = 1. The CISD correlation energy is given by

(4)E_c = \langle \Psi_0 | \hat{H} - E_0 | \Psi \rangle,

and the amplitudes can be determined by the solution to the coupled set of eqations:

(5)0   &= \langle \Psi_{ij}^{ab} | \hat{H} - E_0 - E_c | \Psi \rangle, \\
0   &= \langle \Psi_{i}^{a} | \hat{H} - E_0 - E_c | \Psi \rangle.

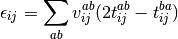
The CISD method is not size-extensive, but this problem can be overcome by making very simple modifications to the amplitude equations. We replace the correlation energy, E_c, with generalized shifts for the doubles and singles equations, \Delta_{ij} and \Delta_i:

(6)0   &= \langle \Psi_{ij}^{ab} | \hat{H} - E_0 - \Delta_{ij} | \Psi \rangle, \\
0   &= \langle \Psi_{i}^{a} | \hat{H} - E_0 - \Delta_i | \Psi \rangle.

These shifts approximate the effects of triple and quadruple excitations. The values for \Delta_{ij} and \Delta_i used in several coupled-pair methods are given in Table CEPA Shifts. Note that these shifts are defined in a spin-free formalism for closed-shell references only.

method \Delta_{ij} \Delta_i
sdci E_c E_c
dci E_c NA
cepa(0) 0 0
cepa(1) \frac{1}{2}\sum_k(\epsilon_{ik}+\epsilon_{jk}) \sum_k \epsilon_{ik}
cepa(3) -\epsilon_{ij}+\sum_k(\epsilon_{ik}+\epsilon_{jk}) -\epsilon_{ii}+2\sum_k \epsilon_{ik}
acpf \frac{2}{N} E_c \frac{2}{N} E_c
aqcc [1-\frac{(N-3)(N-2)}{N(N-1)}]E_c [1-\frac{(N-3)(N-2)}{N(N-1)}]E_c

The pair correlation energy, \epsilon_{ij}, is simply a partial sum of the correlation energy. In a spin-free formalism, the pair energy is given by

(7)\epsilon_{ij} = \sum_{ab} v_{ij}^{ab} (2 t_{ij}^{ab} - t_{ij}^{ba})

Methods whose shifts (\Delta_{ij} and \Delta_i) do not explicitly depend on orbitals i or j (CISD, CEPA(0), ACPF, and AQCC) have solutions that render the energy stationary with respect variations in the amplitudes. This convenient property allows density matrices and 1-electron properties to be evaluated without any additional effort. Note, however, that 1-electron properties are currently unavailable when coupling these stationary CEPA-like methods with frozen natural orbitals.

Density-fitted coupled cluster

Density fitting (DF) or resolution of the identity (RI) techniques are popular in quantum chemistry to avoid the computation and storage of the 4-index electron repulsion integral (ERI) tensor and even to reduce the computational scaling of some terms. DF-CCSD(T) computations are available in PSI4, with or without the use of FNOs, through the FNOCC module. The implementation and accuracy of the DF-CCSD(T) method are described in Ref. [DePrince:2013:inprep].

The default auxiliary basis set for a DF-CCSD computation is chosen to be the RI set (optimized for DFMP2) most similar to the primary basis set. For example, if the primary basis set is aug-cc-pVDZ, the default auxiliary basis set will be the aug-cc-pVDZ-RI set. PSI4 of course allows the user to specify any supported predefined basis set as the auxiliary set. Alternatively, the user can request a set defined by the partial Cholesky decomposition of the 4-index ERI tensor.

The following is a minimal input file that describes a DF-CCSD(T) computation using 3-index integrals obtained by partial Cholesky decomposition of the 4-index ERI tensor.

molecule h2o {
    0 1
    O
    H 1 1.0
    H 1 1.0 2 104.5
}

set {
    df_basis_cc cholesky
    basis aug-cc-pvdz
    freeze_core true
}
energy('df-ccsd(t)')

The accuracy of the Cholesky decomposition may be controlled through the keyword CHOLESKY_TOLERANCE. Note that the keyword SCF_TYPE has not been specified here. By default, a DF-CCSD(T) computation exploits DF technology in the SCF procedure, but one can override this behavior through this keyword.

Gn theory

The FNOCC module contains all the components that comprise the Gn family of composite methods. Currently, only the G2 method is supported [Curtiss:1991:7221]. The G2 procedure may be called through the energy() wrapper:

energy('gaussian-2')

Supported methods

The various methods supported by the FNOCC module in PSI4 are detailed in Table FNOCC Methods. Note that these methods are implemented for closed-shell references only. For open-shell references, the calls energy('mp2.5'), energy('mp3'), and energy('mp4') will default to the DETCI implementations of these methods.

name calls method
qcisd quadratic configuration interaction singles doubles
qcisd(t) qcisd with perturbative triples
mp2.5 average of second- and third-order perturbation theories
mp3 third-order perturbation theory
mp4(sdq) fourth-order perturbation theory, minus triples contribution
mp4 full fourth-order perturbation theory
cepa(0) coupled electron pair approximation, variant 0
cepa(1) coupled electron pair approximation, variant 1
cepa(3) coupled electron pair approximation, variant 3
acpf averaged coupled-pair functional
aqcc averaged quadratic coupled-cluster
sdci configuration interaction with single and double excitations
dci configuration interaction with double excitations
fno-qcisd qcisd with frozen natural orbitals
fno-qcisd(t) qcisd(t) with frozen natural orbitals
fno-ccsd coupled cluster singles doubles with frozen natural orbitals
fno-ccsd(t) ccsd with perturbative triples and frozen natural orbitals
fno-mp3 mp3 with frozen natural orbitals
fno-mp4(sdq) mp4(sdq) with frozen natural orbitals
fno-mp4 mp4 with frozen natural orbitals
fno-cepa(0) cepa(0) with frozen natural orbitals
fno-cepa(1) cepa(1) with frozen natural orbitals
fno-cepa(3) cepa(3) with frozen natural orbitals
fno-acpf acpf with frozen natural orbitals
fno-aqcc aqcc with frozen natural orbitals
fno-sdci sdci with frozen natural orbitals
fno-dci dci with frozen natural orbitals
df-ccsd ccsd with density fitting
df-ccsd(t) ccsd(t) with density fitting
fno-df-ccsd ccsd with density fitting and frozen natural orbitals
fno-df-ccsd(t) ccsd(t) with density fitting and frozen natural orbitals

Basic FNOCC Keywords

BASIS

Primary basis set

  • Type: string
  • Possible Values: basis string
  • Default: No Default

FREEZE_CORE

Specifies how many core orbitals to freeze in correlated computations. TRUE will default to freezing the standard default number of core orbitals. For PSI, the standard number of core orbitals is the number of orbitals in the nearest previous noble gas atom. More precise control over the number of frozen orbitals can be attained by using the keywords NUM_FROZEN_DOCC (gives the total number of orbitals to freeze, program picks the lowest-energy orbitals) or FROZEN_DOCC (gives the number of orbitals to freeze per irreducible representation)

  • Type: string
  • Possible Values: FALSE, TRUE
  • Default: FALSE

R_CONVERGENCE

Convergence for the CC amplitudes. Note that convergence is met only when E_CONVERGENCE and R_CONVERGENCE are satisfied.

E_CONVERGENCE

Convergence criterion for CC energy. See Table Post-SCF Convergence for default convergence criteria for different calculation types. Note that convergence is met only when E_CONVERGENCE and R_CONVERGENCE are satisfied.

MAXITER

Maximum number of CC iterations

  • Type: integer
  • Default: 100

DIIS_MAX_VECS

Desired number of DIIS vectors

  • Type: integer
  • Default: 8

NAT_ORBS

Do use MP2 NOs to truncate virtual space for QCISD/CCSD and (T)?

OCC_TOLERANCE

Cutoff for occupation of MP2 NO orbitals in FNO-QCISD/CCSD(T) ( only valid if NAT_ORBS = true )

TRIPLES_LOW_MEMORY

Do use low memory option for triples contribution? Note that this option is enabled automatically if the memory requirements of the conventional algorithm would exceed the available resources

CC_TIMINGS

Do time each cc diagram?

DF_BASIS_CC

Auxilliary basis for df-ccsd(t).

  • Type: string
  • Possible Values: basis string
  • Default: No Default

CHOLESKY_TOLERANCE

tolerance for Cholesky decomposition of the ERI tensor

CEPA_NO_SINGLES

Flag to exclude singly excited configurations from a coupled-pair computation.

DIPMOM

Compute the dipole moment? Note that dipole moments are only available in the FNOCC module for the ACPF, AQCC, CISD, and CEPA(0) methods.

Advanced FNOCC Keywords

SCS_MP2

Do SCS-MP2?

MP2_SCALE_OS

Opposite-spin scaling factor for SCS-MP2

  • Type: double
  • Default: 1.20

MP2_SCALE_SS

Same-spin scaling factor for SCS-MP2

  • Type: double
  • Default: 1.0/3.0

SCS_CCSD

Do SCS-CCSD?

CC_SCALE_OS

Oppposite-spin scaling factor for SCS-CCSD

  • Type: double
  • Default: 1.27

CC_SCALE_SS

Same-spin scaling factor for SCS-CCSD

  • Type: double
  • Default: 1.13

RUN_MP2

do only evaluate mp2 energy?

RUN_MP3

do only evaluate mp3 energy?

RUN_MP4

do only evaluate mp4 energy?

RUN_CCSD

do ccsd rather than qcisd?

RUN_CEPA

Is this a CEPA job? This parameter is used internally by the pythond driver. Changing its value won’t have any effect on the procedure.

COMPUTE_TRIPLES

Do compute triples contribution?

COMPUTE_MP4_TRIPLES

Do compute MP4 triples contribution?

DFCC

Do use density fitting in CC? This keyword is used internally by the driver. Changing its value will have no effect on the computation.

CEPA_LEVEL

Which coupled-pair method is called? This parameter is used internally by the python driver. Changing its value won’t have any effect on the procedure.

  • Type: string
  • Default: CEPA(0)