PSI4 Project Logo

OCC: Orbital-Optimized Coupled-Cluster and Møller–Plesset Perturbation Theories

Code author: Ugur Bozkaya

Section author: Ugur Bozkaya

Module: Keywords, PSI Variables, OCC

Introduction

Orbital-optimized methods have several advantages over non-optimized counterparts. Once the orbitals are optimized, the wave function will obey the Hellmann-Feynman theorem for orbital rotation parameters. Therefore, there is no need for orbital response terms in the evaluation of analytic gradients. In other words, it is unnecessary to solve the first order coupled-perturbed CC and many-body perturbation theory (MBPT) equations. Further, computation of one-electron properties is easier because there are no response contributions to the particle density matrices (PDMs). Moreover, active space approximations can be readily incorporated into the CC methods [Krylov:2000:vod]. Additionally, orbital-optimized coupled-cluster avoids spurious second-order poles in its response function, and its transition dipole moments are gauge invarianti [Pedersen:1999:od].

Another advantage is that the orbital-optimized methods does not suffer from the artifactual symmetry-breaking instabilities [Sherrill:1998:od], [Bozkaya:2011:omp2], and [Bozkaya:2011:omp3]. Further, Kurlancheek and Head-Gordon [Kurlancek:2009] demonstrated that first order properties such as forces or dipole moments are discontinuous along nuclear coordinates when such a symmetry breaking occurs. They also observed that although the energy appears well behaved, the MP2 method can have natural occupation numbers greater than 2 or less than 0, hence may violate the N-representability condition. They further discussed that the orbital response equations generally have a singularity problem at the unrestriction point where spin-restricted orbitals become unstable to unrestriction. This singularity yields to extremely large or small eigenvalues of the one-particle density matrix (OPDM). These abnormal eigenvalues may lead to unphysical molecular properties such as vibrational frequencies. However, orbital optimized MP2 (hence Orbital optimized MP3) will solve this N-representability problem by disregarding orbital response contribution of one-partical density matrix.

Although the performance of coupled-cluster singles and doubles (CCSD) and orbital-optimized CCD (OD) is similar, the situation is different in the case of triples corrections, especially at stretched geometries [Bozkaya:2012:odtl]. Bozkaya and Schaefer demonstrated that orbital-optimized coupled cluster based triple corrections, especially those of asymmetrics, provide significantly better potential energy curves than CCSD based triples corrections.

Theory

What follows is a very basic description of orbital-optimized Møller–Plesset perturbation theory as implemented in PSI4. We will follow our previous presentations ([Bozkaya:2011:omp2], [Bozkaya:2011:omp3], and [Bozkaya:2012:odtl])

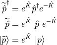
The orbital variations may be expressed by means of an exponential unitary operator

\widetilde{\hat{p}}^{\dagger} &= e^{\hat{K}} \hat{p}^{\dagger} e^{-\hat{K}}\\
\widetilde{\hat{p}} &= e^{\hat{K}} \ \hat{p} \ e^{-\hat{K}} \\
| \widetilde{p} \rangle &= e^{\hat{K}} \ | p \rangle

where \hat{K} is the orbital rotation operator

\hat{K} &= \sum_{p,q}^{} K_{pq} \ \hat{E}_{pq} = \sum_{p>q}^{} \kappa_{pq} \ \hat{E}_{pq}^{-} \\
\hat{E}_{pq}  &= \hat{p}^{\dagger} \hat{q} \\
\hat{E}_{pq}^{-} &= \hat{E}_{pq} \ - \ \hat{E}_{qp} \\
{\bf K} &= Skew({\bf \kappa})

The effect of the orbital rotations on the MO coefficients can be written as

{\bf C({\bf \kappa})} = {\bf C^{(0)}} \ e^{{\bf K}}

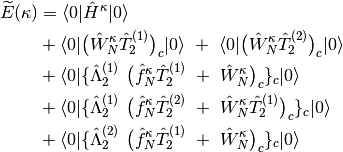
where {\bf C^{(0)}} is the initial MO coefficient matrix and {\bf C({\bf \kappa})} is the new MO coefficient matrix as a function of {\bf \kappa}. Now, let us define a variational energy functional (Lagrangian) as a function of {\bf \kappa}

  • OMP2

\widetilde{E}({\bf \kappa}) &= \langle 0| \hat{H}^{\kappa} | 0 \rangle \\
&+  \langle 0| \big(\hat{W}_{N}^{\kappa}\hat{T}_{2}^{(1)}\big)_{c} | 0 \rangle \\
&+  \langle 0| \{\hat{\Lambda}_{2}^{(1)} \ \big(\hat{f}_{N}^{\kappa} \hat{T}_{2}^{(1)}
\ + \ \hat{W}_{N}^{\kappa} \big)_{c}\}_{c} | 0 \rangle

  • OMP3

\widetilde{E}({\bf \kappa}) &= \langle 0| \hat{H}^{\kappa} | 0 \rangle \\
&+ \langle 0| \big(\hat{W}_{N}^{\kappa}\hat{T}_{2}^{(1)}\big)_{c} | 0 \rangle
\ + \ \langle 0| \big(\hat{W}_{N}^{\kappa}\hat{T}_{2}^{(2)}\big)_{c} | 0 \rangle \\
&+  \langle 0| \{\hat{\Lambda}_{2}^{(1)} \ \big(\hat{f}_{N}^{\kappa} \hat{T}_{2}^{(1)}
\ + \ \hat{W}_{N}^{\kappa} \big)_{c}\}_{c} | 0 \rangle \\
&+ \langle 0| \{\hat{\Lambda}_{2}^{(1)} \ \big(\hat{f}_{N}^{\kappa} \hat{T}_{2}^{(2)}
\ + \ \hat{W}_{N}^{\kappa}\hat{T}_{2}^{(1)} \big)_{c}\}_{c} | 0 \rangle \\
&+ \langle 0| \{\hat{\Lambda}_{2}^{(2)} \ \big(\hat{f}_{N}^{\kappa} \hat{T}_{2}^{(1)}
\ + \ \hat{W}_{N}^{\kappa} \big)_{c}\}_{c} | 0 \rangle

  • OCEPA

\widetilde{E}({\bf \kappa}) &= \langle 0| \hat{H}^{\kappa} | 0 \rangle
\ + \ \langle 0| \big(\hat{W}_{N}^{\kappa}\hat{T}_{2}\big)_{c} | 0 \rangle \\
&+ \langle 0| \{\hat{\Lambda}_{2} \ \big(\hat{W}_{N}^{\kappa} \ + \ \hat{H}_{N}^{\kappa}\hat{T}_{2} \big)_{c}\}_{c}  | 0 \rangle

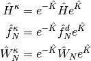
where subscript c means only connected diagrams are allowed, and \hat{H}^{\kappa}, \hat{f}_{N}^{\kappa}, and \hat{W}_{N}^{\kappa} defined as

\hat{H}^{\kappa} &=  e^{-\hat{K}} \hat{H} e^{\hat{K}} \\
\hat{f}_{N}^{\kappa} &=  e^{-\hat{K}} \hat{f}_{N}^{d} e^{\hat{K}} \\
\hat{W}_{N}^{\kappa} &=  e^{-\hat{K}} \hat{W}_{N} e^{\hat{K}}

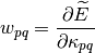
where \hat{f}_{N}, and \hat{W}_{N} are the one- and two-electron components of normal-ordered Hamiltonian. Then, first and second derivatives of the energy with respect to the {\bf \kappa} parameter at {\bf \kappa} = 0

w_{pq} = \frac{\partial \widetilde{E}}{\partial \kappa_{pq}}

A_{pq,rs} = \frac{\partial^2 \widetilde{E}}{\partial \kappa_{pq} \partial \kappa_{rs}}

Then the energy can be expanded up to second-order as follows

\widetilde{E}^{(2)}({\bf \kappa}) = \widetilde{E}^{(0)} + {\bf \kappa^{\dagger} w}  + \frac{1}{2}~{\bf \kappa^{\dagger} A \kappa}

where {\bf w} is the MO gradient vector, {\bf \kappa} is the MO rotation vector, and {\bf A} is the MO Hessian matrix. Therefore, minimizing the energy with respect to {\bf \kappa} yields

{\bf \kappa} = -{\bf A^{-1}w}

This final equation corresponds to the usual Newton-Raphson step.

Publications resulting from the use of the OMP2 code should cite the following publication(s):

[Bozkaya:2011:omp2].

Publications resulting from the use of the OMP3 code should cite the following publications:

[Bozkaya:2011:omp3] and [Bozkaya:2013:omp3].

Publications resulting from the use of the OMP2.5 code should cite the following publications:

[Bozkaya:2011:omp3] and [Bozkaya:2013:omp3].

Publications resulting from the use of the OCEPA code should cite the following publication(s):

[Bozkaya:2011:omp2].

Publications resulting from the use of the MP2 code should cite the following publication(s):

[Bozkaya:2011:omp2].

Publications resulting from the use of the MP3 code should cite the following publications:

[Bozkaya:2011:omp3] and [Bozkaya:2013:omp3].

Publications resulting from the use of the MP2.5 code should cite the following publications:

[Bozkaya:2011:omp3] and [Bozkaya:2013:omp3].

Publications resulting from the use of the CEPA0 code should cite the following publication(s):

[Bozkaya:2011:omp2].

Methods

The conventional and orbital-optimized MP2 methods currently supported in PSI4 are outlined in Table OMP2 Methods.

Name Calls Method Energy Gradient Reference
conv-mp2 MP2 Y Y RHF/ROHF/UHF
omp2 Orbital-Optimized MP2 Y Y RHF/ROHF/UHF/RKS/UKS
scs-omp2 Spin-Component Scaled Orbital-Optimized MP2 Y N RHF/ROHF/UHF/RKS/UKS
sos-omp2 Spin-Opposite Scaled Orbital-Optimized MP2 Y N RHF/ROHF/UHF/RKS/UKS
scsn-omp2 A special version of SCS-OMP2 for nucleobase interactions Y N RHF/ROHF/UHF/RKS/UKS
scs-omp2-vdw A special version of SCS-OMP2 (from ethene dimers) Y N RHF/ROHF/UHF/RKS/UKS
sos-pi-omp2 A special version of SOS-OMP2 for \pi-systems Y N RHF/ROHF/UHF/RKS/UKS

The conventional and orbital-optimized MP3 methods currently supported in PSI4 are outlined in Table OMP3 Methods.

Name Calls Method Energy Gradient Reference
mp3 MP3 Y Y RHF/UHF
omp3 Orbital-Optimized MP3 Y Y RHF/ROHF/UHF/RKS/UKS
scs-omp3 Spin-Component Scaled Orbital-Optimized MP3 Y N RHF/ROHF/UHF/RKS/UKS
sos-omp3 Spin-Opposite Scaled Orbital-Optimized MP3 Y N RHF/ROHF/UHF/RKS/UKS
scsn-omp3 A special version of SCS-OMP3 for nucleobase interactions Y N RHF/ROHF/UHF/RKS/UKS
scs-omp3-vdw A special version of SCS-OMP3 (from ethene dimers) Y N RHF/ROHF/UHF/RKS/UKS
sos-pi-omp3 A special version of SOS-OMP3 for \pi-systems Y N RHF/ROHF/UHF/RKS/UKS

The conventional and orbital-optimized MP2.5 methods currently supported in PSI4 are outlined in Table OMP2.5 Methods.

Name Calls Method Energy Gradient Reference
mp2.5 MP2.5 Y Y RHF/UHF
omp2.5 Orbital-Optimized MP2.5 Y Y RHF/ROHF/UHF/RKS/UKS

The conventional and orbital-optimized CEPA methods currently supported in PSI4 are outlined in Table OCEPA Methods.

Name Calls Method Energy Gradient Reference
ocepa Orbital-Optimized CEPA Y Y RHF/ROHF/UHF/RKS/UKS
scs-ocepa Spin-Component Scaled Orbital-Optimized CEPA Y N RHF/ROHF/UHF/RKS/UKS
sos-ocepa Spin-Opposite Scaled Orbital-Optimized CEPA Y N RHF/ROHF/UHF/RKS/UKS
cepa0 CEPA(0) (identical to Linearized CCD) Y Y RHF/UHF

Basic Keywords

E_CONVERGENCE

Convergence criterion for energy. See Table Post-SCF Convergence for default convergence criteria for different calculation types.

R_CONVERGENCE

Convergence criterion for amplitudes (residuals).

RMS_MOGRAD_CONVERGENCE

Convergence criterion for RMS orbital gradient. Default adjusts depending on E_CONVERGENCE

MAX_MOGRAD_CONVERGENCE

Convergence criterion for maximum orbital gradient

MO_MAXITER

Maximum number of iterations to determine the orbitals

  • Type: integer
  • Default: 50

WFN_TYPE

Type of the wavefunction.

  • Type: string
  • Possible Values: OMP2, OMP3, OCEPA, OMP2.5
  • Default: OMP2

ORB_OPT

Do optimize the orbitals?

Advanced Keywords

OPT_METHOD

The optimization algorithm. Modified Steepest-Descent (MSD) takes a Newton-Raphson (NR) step with a crude approximation to diagonal elements of the MO Hessian. The ORB_RESP option obtains the orbital rotation parameters by solving the orbital-reponse (coupled-perturbed CC) equations. Additionally, for both methods a DIIS extrapolation will be performed with the DO_DIIS = TRUE option.

  • Type: string
  • Possible Values: MSD, ORB_RESP
  • Default: ORB_RESP

MO_DIIS_NUM_VECS

Number of vectors used in orbital DIIS

  • Type: integer
  • Default: 6

LINEQ_SOLVER

The solver will be used for simultaneous linear equations.

  • Type: string
  • Possible Values: CDGESV, FLIN, POPLE
  • Default: CDGESV

ORTH_TYPE

The algorithm for orthogonalization of MOs

  • Type: string
  • Possible Values: GS, MGS
  • Default: MGS

MP2_OS_SCALE

MP2 opposite-spin scaling value

  • Type: double
  • Default: 6.0/5.0

MP2_SS_SCALE

MP2 same-spin scaling value

  • Type: double
  • Default: 1.0/3.0

MP2_SOS_SCALE

MP2 Spin-opposite scaling (SOS) value

  • Type: double
  • Default: 1.3

MP2_SOS_SCALE2

Spin-opposite scaling (SOS) value for optimized-MP2 orbitals

  • Type: double
  • Default: 1.2

NAT_ORBS

Do compute natural orbitals?

OCC_ORBS_PRINT

Do print OCC orbital energies?

TPDM_ABCD_TYPE

How to take care of the TPDM VVVV-block. The COMPUTE option means it will be computed via an IC/OOC algoritm. The DIRECT option (default) means it will not be computed and stored, instead its contribution will be directly added to Generalized-Fock Matrix.

  • Type: string
  • Possible Values: DIRECT, COMPUTE
  • Default: DIRECT

DO_DIIS

Do apply DIIS extrapolation?

DO_LEVEL_SHIFT

Do apply level shifting?

OCC: Conventional Møller–Plesset Perturbation Theories

Module: Keywords, PSI Variables, OCC

PSI4 also has a non-density-fitted MP2 algorithm for RHF and UHF energies and gradients. The density-fitted module DFMP2 is always the default, so to access the conventional MP2 code, set MP2_TYPE to conv and call as usual energy('mp2')/optimize('mp2').

Basic Keywords

MP2_TYPE

Algorithm to use for non-OO MP2 computation

  • Type: string
  • Possible Values: DF, CONV
  • Default: DF

MP2_OS_SCALE

MP2 opposite-spin scaling value

  • Type: double
  • Default: 6.0/5.0

MP2_SS_SCALE

MP2 same-spin scaling value

  • Type: double
  • Default: 1.0/3.0

Non-orbital-optimized counterparts to higher order MPn methods are also available. Summarizing from tables above, the following methods are available and can be controlled through OCC keywards.

Name Calls Method Energy Gradient Reference
conv-mp2 MP2 Y Y RHF/ROHF/UHF
mp3 MP3 Y Y RHF/UHF
mp2.5 MP2.5 Y Y RHF/UHF
cepa0 CEPA(0) (identical to Linearized CCD) Y Y RHF/UHF