PSI4 Project Logo

Interface to DFTD3 by S. Grimme

Code author: Lori A. Burns

Section author: Lori A. Burns

PSI4 contains code to interface to the DFTD3 program of S. Grimme, which is freely downloadable from http://toc.uni-muenster.de/DFTD3/).

Installation

Follow the instructions provided with the source to build the DFTD3 program (essentially, unpack the source, edit the Makefile to select a Fortran compiler, and run make). For the moment, you must apply a patch, psi4/lib/scripts/patch_grimme_dftd3, to the dftd3 source before building. To be used by PSI4, the program binary (dftd3) must be found in your PATH. If PSI4 is unable to execute the binary, an error will be reported.

>>> cd dftd3
>>> ls
dftd3.tar
patch_grimme_dftd3
>>> tar -xvf dftd3.tar
copyc6.f
dftd3.f
Makefile
man.pdf
pars.f
param
>>> patch < patch_grimme_dftd3
patching file Makefile
patching file dftd3.f
>>> make
making dftd3.o from dftd3.f
gfortran   -O  -c dftd3.f -o dftd3.o
making copyc6.o from copyc6.f
gfortran   -O  -c copyc6.f -o copyc6.o
gfortran dftd3.o copyc6.o    -o ./dftd3
>>> ls
Makefile           copyc6.o           dftd3.f            dftd3.tar          param              patch_grimme_dftd3
copyc6.f           dftd3              dftd3.o            man.pdf            pars.f

Theory

The local or semilocal character of conventional density functionals necessarily leads to neglect of the long-range correlation interactions which capture attractive van der Waals forces. Initially proposed by Yang [Wu:2002:515] and assiduously developed by Grimme, [Grimme:2004:1463] [Grimme:2006:1787] [Grimme:2010:154104] the DFT+Dispersion method appends to the base functional a scaled, damped, and fitted leading term to the well-known dispersion energy series, E_{disp} = -C_6/R^6
-C_8/R^8 -C_{10}/R^{10}-\cdots. The DFT-D2 [Grimme:2006:1787] variant takes the explicit form below. Here, dispersion coefficients, C_6^{ij}, obtained from the geometric mean of tabulated elemental values, are summed over interatomic distances, R_{ij}, modulated by a damping function, f_{damp}(R_{ij}), that gradually activates the dispersion correction (at a rate characterized by \alpha_6) over a distance characterized by the sum of the two atomic vdW radii, R_{vdW}, while an overall scaling term, s_6, is optimized to be unique to each E_{xc} functional. (\alpha_6 is sometimes allowed to vary as well.)

(1)E_{disp}^{\text{D2}}=-s_6 \sum_{i,j>i}^{N_{at}} \frac{C_6^{ij}}{(R_{ij})^6} f_{damp}(R_{ij})

f_{damp}(R_{ij}) = \frac{1}{1 + e^{- \alpha_6 (R_{ij}/R_{vdW} - 1)}}

Grimme recently presented a refined method, DFT-D3, [Grimme:2010:154104] which incorporates an additional R^{-8} term in the dispersion series and adjusts the C_{6}^{ij} combination formula and damping function. The individual atomic C_6^i are interpolated from several reference values based upon coordination numbers extracted from the molecular structure, rather than assigned solely by atomic identity as in DFT-D2, and thereby incorporate some awareness of the chemical environment into an otherwise largely heuristic correction. The -D3 dispersion has the following form, where s_{r,6} and s_8 are the customary nonunity parameters fitted for individual functionals.

(2)E_{disp}^{\text{D3ZERO}}=-\sum_{n=6,8} s_n \sum_{i,j>i}^{N_{at}}
\frac{C_n^{ij}}{(R_{ij})^n} f_{damp}(R_{ij})

f_{damp}(R_{ij}) = \frac{1}{1 + 6 (R_{ij}/(s_{r,n} R_0^{ij}))^{- \alpha_n}}

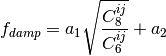
A modified damping scheme for DFT-D3 using the rational damping form of Becke and Johnson was introduced in [Grimme:2011:1456]. The parameters fit for individual functionals are now s_6, s_8, a_1, and a_2.

E_{disp}^{\text{D3BJ}}=-\sum_{n=6,8} s_n \sum_{i,j>i}^{N_{at}}
\frac{C_n^{ij}}{(R_{ij})^n + (f_{damp})^n}

f_{damp} = a_1 \sqrt{\frac{C_8^{ij}}{C_6^{ij}}} + a_2

All parameters characterizing the dispersion correction are taken from http://toc.uni-muenster.de/DFTD3/ or else from the literature.

Running DFTD3

A number of a posteriori dispersion corrections are available in PSI4. While most are computed within PSI4’s codebase (-D1, -D2, -CHG, -DAS2009, -DAS2010), the -D3 correction and its variants are available only through the DFTD3 program. Once installed, the dftd3/PSI4 interface is transparent, and all corrections are interfaced exactly alike.

Dispersion corrections are built into DFT functionals, so appending an a posteriori correction to a computation is as simple as energy('b2plyp-d') vs. energy('b2plyp'). For example, the following input file computes (with much redundant work) for water a B3LYP, a B3LYP-D2, and a B3LYP-D3 (zero-damping) energy.

molecule h2o {
     O
     H 1 1.0
     H 1 1.0 2 104.5
 }
 set {
     basis cc-pVDZ
 }
 energy('b3lyp')
 energy('b3lyp-d')
 energy('b3lyp-d3')

Consult the table -D Functionals to see for each functional what corrections are available and what default parameters define them. The dispersion correction is available after a calculation in the PSI variable DISPERSION CORRECTION ENERGY. By default, the output from the dftd3 program is suppressed; to see it in the output file, set print > 2.

Variants of S. Grimme’s -D correction
Extension [1] Variant and Computing Program DFT_DISPERSION_PARAMETERS
-D alias to -D2P4  
-D1 -D1 [2] within PSI4  
-D2 alias to -D2P4  
-D2P4 -D2 [3] within PSI4 [s_6]
-D2GR -D2 [3] through dftd3 [s_6, \alpha_6]
-D3 alias to -D3ZERO  
-D3ZERO -D3 [4] w/ original zero-damping through dftd3 [s_6, s_8, s_{r,6}, \alpha_6]
-D3BJ -D3 [5] w/ newer Becke-Johnson rational damping through dftd3 [s_6, s_8, a_1, a_2]

Footnotes

[1]Note that there are functionals with these extensions (e.g., wB97X-D) that, not being Grimme corrections, have nothing to do with this table.
[2][Grimme:2004:1463]
[3](1, 2) [Grimme:2006:1787]
[4][Grimme:2010:154104]
[5][Grimme:2011:1456]

A few practical examples:

  • DFT-D2 single point with default parameters (dftd3 not called)

    energy('bp86-d')
    
  • DFT-D3BJ optimization with default parameters

    optimize('pbe-d3bj')
    
  • DFT-D2 optimization with custom s6 parameter

    set dft_dispersion_parameters [1.20]
    optimize('b3lyp-d2')
  • DFT-D3ZERO single point (b3lyp) with custom s8 parameter (reset all four values)

    set dft_dispersion_parameters [1.0, 2.0, 1.261, 14.0]
    energy('b3lyp-d3')

If only dispersion corrections (rather than total energies) are of interest, the dftd3 program can be run independently of the scf through the python function run_dftd3(). (This function is the same PSI4/dftd3 interface that is called during an scf job.) This route is much faster than running a DFT-D energy.

  • Some set-up:

    molecule nene {
    Ne
    Ne 1 2.0
    }
    
    nene.update_geometry()
  • The same four dispersion corrections/gradients as the section above:

    >>> print nene.run_dftd3('bp86', 'd', dertype=0)
    -7.735e-05
    
    >>> E, G = nene.run_dftd3('pbe', 'd3bj')
    >>> print G
    [[0.0, 0.0, -1.1809087569358e-05], [0.0, 0.0, 1.1809087569358e-05]]
    
    >>> E, G = nene.run_dftd3('b3lyp', 'd2', {'s6': 1.20})
    >>> print E
    -8.84e-05
    
    >>> E, G = nene.run_dftd3(dashlvl='d3', dashparam={'s8': 2.0, 'alpha6': 14.0, 'sr6': 1.261, 's6': 1.0})
    >>> print E
    -0.00024762
    
run_dftd3(self, func=None, dashlvl=None, dashparam=None, dertype=None)[source]

Function to call Grimme’s dftd3 program (http://toc.uni-muenster.de/DFTD3/) to compute the -D correction of level dashlvl using parameters for the functional func. The dictionary dashparam can be used to supply a full set of dispersion parameters in the absense of func or to supply individual overrides in the presence of func. Returns energy if dertype is 0, gradient if dertype is 1, else tuple of energy and gradient if dertype unspecified. The dftd3 executable must be independently compiled and found in PATH.

Table Of Contents

Previous topic

Interface to MRCC by M. Kállay

Next topic

Interface to Molden

This Page